【人気ダウンロード!】 y x2乗 グラフ 238452-Y=x2乗+4x グラフ
Sep 10, 08y=x 2 のグラフ(青色)も、y=2x 2 のグラフ(緑色)も放物線になります。Jul 11, 16おわりに ここでは、二次関数 y = ax2 q y = a x 2 q のグラフについて見てきました。 このグラフのかき方は、次のようになります。 頂点 (0,q) ( 0, q) を把握し、座標を書く 頂点をもとに、放物線をかく 放物線上のどこか1点の座標を書く 放物線上のどこかまた、y=x 3 の他にも、y=2x 3 、y=5x 3 +1、y=10x 3 +x 2 +7、y=2x 3 のような、x 3 が含まれている式は3次関数といいます。 3次関数の式がわかったところで、次は、3次関数をグラフに描いて
24 Y Ax2 Descubre Como Resolverlo En Qanda
Y=x2乗+4x グラフ
Y=x2乗+4x グラフ-Aug 04, #!/usr/bin/python3 # coding UTF8 #グラフ y=sqrt(r^2x^2) import matplotlibpyplot as plt import numpy as np r = 10 x = np linspace (r, r, , endpoint = True) y = np sqrt (r ** 2x ** 2) plt plot (x, y, 'red') #実線 plt plot (x,y, 'red') plt axes () set_aspect ('equal', 'datalim') #xとy軸を同じ比率にする plt xticksJun 15, 19それでもx=25付近ではx軸と一致してしまっているが,\ 実際にはy=0になることはない よって,\ 試験ではx軸と離して描いておくべきである ちなみに,\ この関数は標準正規分布の確率密度関数y={1}2πe^{\frac{x²}{2の一部である



中3数学 放物線と直線の交点 練習編 映像授業のtry It トライイット
数値の表を準備 y = x 2 という式をエクセルに渡しても理解しません;グラフ y=1/4x^2 y = 1 4 x2 y = 1 4 x 2 1 4 1 4 と x2 x 2 を組み合わせます。 y = x2 4 y = x 2 4 与えられた放物線の性質を求めましょう。 タップしてもっと手順を表示する Rewrite the equation in vertex form タップしてもっと手順を表示する x 2 4 x 2 4 を平方完成します。Aug 14, 19もう少し簡単な式から考えてみましょう。 (x1)2乗 = x2乗2x1 はわかりますよね? (xa)2乗 = x2乗2axa2乗 も大丈夫かな? 下の式で、右辺のa2乗を左辺に移動しましょう。 どうなりますか? これと今回の問題を比べて見てください。 こういう変形に慣れると、問題を解く力がワンランク上がります。
Nov 05, グラフが二次関数y=x2乗のグラフを平行移動したもので、点(1,4)を通り、x=3のとき、最小値をとる二次関数は何か。教えて下さい。>x=3のとき、最小値をとる二次関数 y = x^2 (「2乗」をこう書きます)は「下に凸」なので、「頂点グラフの縮小率: (0~1推奨) 指数関数のグラフ y=() 数式直接入力 y= x 25は、{x^2}5と書きます。 例:y={(1/2)^x}1(2分の1のx乗プラス1) 使い方 式の入力には、数字と「x * / ( ) { }」を使用します。すべて半角です。 ×は「*」、÷は「/」を用います。Nov 01, 16数学です y=1/x^2のグラフで x≠2のときは x=2に近づくと無限大に発散するのでしょうか?
Y = a x y 2 = a x y=\sqrt{ax}\iff y^2=ax y = a x y 2 = a x かつ y ≥ 0 y\geq 0 y ≥ 0 なので,グラフは放物線の一部になります(よく見る y = x 2 y=x^2 y = x 2 という放物線を 9 0 ∘ 90^{\circ} 9 0 ∘ 回転させたものの半分)。 b ≠ 0 b\neq 0 b = 0 の場合は平行移動すればよいだけです。§1 2次関数 3.2次関数のグラフ(2) 2次関数 y=a(xp) 2 q は,頂点 (p,q) 軸 x=p の放物線を表すことを,前の章で学習しました。 たとえば,y=(x2) 22 という関数を考えますと,これは,頂点 (2,2),軸 x=2 の放物線を表しています。とても分かりやすいですね。このような式の形を,標準形 と呼グラフの描き方 2乗に比例する関数のグラフは直線ではないため、 できるだけたくさんの点をとりフリーハンドでなめらかな曲線のグラフをかく。 y= 1 4 x 2 のグラフの書き方 xの値を式に代入して下の



二次関数のグラフで三角形の面積を求める問題の解き方4ステップ Qikeru 学びを楽しくわかりやすく



超簡単 二次不等式の解き方が誰でもわかる 必ず解きたい問題付き 高校生向け受験応援メディア 受験のミカタ
4 関数y=ax2 のグラフと変域(1) VMA05 3 2 乗に比例する関数の増加・減少 ここでは,関数y=ax2 の値の増加・減少について学習してみましょう。 関数y=ax2 でxの変域が与えられたときのyの最大値・最小値は,たとえばa>0 のとき のように, xの変域によって考え方が違ってきます。A,Bの座標が次のそれぞれの場合において、y=ax 2 のグラフが線分AB(両端を含む)と交わるようなaの値の範囲を求めよ。 A(2,1), B(2,8) A(4, 4), B(4, 8) A(3, 1), B(3, 9) 図の放物線lはy= 1 2 x 2 の グラフで、放物線mはy=ax 2 のグラフである。lとmがx軸に平行な直線nと交わる点をそれぞれA, Bとする。Aのx座標がJul 12, 16点 (x−1,(x −1)2) (x − 1, (x − 1) 2) は、 x 座標を2乗すると y 座標となるので、 y = x2 y = x 2 のグラフ上の点です。



指数関数のグラフと性質 これだけはサッと思い出したい 超重要な6つの性質 青春マスマティック



なぜ X2乗をtとおき Clear
Feb 06, y=sin^2xのグラフや周期はどうなるのか?y=sin^2θ(2乗)のグラフ まず、y=sin^2xはy=sinxを2乗したものの数値であり、y=sin2xとは別物であることとを理解しておくといいです。またy=sin^2xとy=sin^2θは変数名が違うだけ意味は同じです。頻出問題 代数 グラフ y=1/2x^2 y = 1 2 x2 y = 1 2 x 2 1 2 1 2 と x2 x 2 を組み合わせます。 y = x2 2 y = x 2 2 与えられた放物線の性質を求めましょう。 タップしてもっと手順を表示する Rewrite the equation in vertex formセル に 0 、セルB2 に=^2 と入力します。 キャレット ^ は一般的な Windows キーボードの右上の方にあります 、詳しくは → キャレット



二次関数のグラフと解の存在範囲の問題をわかりやすく解説



中学数学 関数
代わりに y = x 2 という式を使った数値の表を作成して、それをグラフにします;Oct 15, 19発展問題もアリ! |中学数学・理科の学習まとめサイト! y=ax2乗aの求め方についてパターン別に解説! 発展問題もアリ! を求めろって言われても 何をすればいいの! ? というわけで、今回の記事では中3で学習する関数 の単元から「 の求めOct 14, 19y=ax2乗のグラフで覚えておきたい用語 まず、グラフの形は 放物線 となります。 この放物線は左右対称の形となっており、その折れ目となる線のこと



2次関数のグラフの書き方 頂点 平行移動について全て語った 理系ラボ



2次関数のグラフ カナノート
Y=x 2 のグラフと同じように、式を満たすxとyの値の組 を座標にとっていくと、点が隙間なくうまって下のよう な滑らかな曲線になるんだ。 ↓曲線になるまで画像をクリック!・y=g(x)=x 2 の極限の性質より、 y=g(x)= x 2 は、 どんな実数aに対しても、 g(x) →a 2 (x→a)。 ・「関数どおしの積」の極限は、「関数の極限」どおしの積となるという定理と、 上記で得られた「g(x)の極限値」より、 g(x) 3 →a 3 (x→a) ・したがって、f (x)=g(x) 3 = x 3 は、Jul 14, y=1/x(2乗)のグラフってどんなんですか? 大体でいいので教えてください。



435 A 6 3 Yx2 P Descubre Como Resolverlo En Qanda



Y X Y 1 22 X 2 V 2 1 Df Lihat Cara Penyelesaian Di Qanda
Jun 29, 18y=ax2乗のグラフ書き方 まとめ お疲れ様でした! 放物線のグラフを書くためには 丁寧に点を取って、それらをなめらかーに結ぶ! これだけですね。 何度も練習すれば 誰にでも簡単に書けるようになります。 レッツ!練習(/・ω・)/関数y=ax2乗放物線グラフの書き方はこれでバッチリ! yはxの2乗に比例する関数 中3 数学平均の速さの求め方を解説!本時の目標 関数 y= ax2 y = a x 2 で, a= 1 a = 1 のときの y =x2 y = x 2 のグラフをかき,その特徴を調べる 実施時期 3年生2学期(9月) 単元項目 4章1節 関数 y=ax2 y = a x 2 (p106) 配当時数 9時間(本時はその2時間目)



ベストyx2乗1 グラフ 最高のぬりえ



中3数学 Y X2乗のグラフ 5分で学習 Youtube
各 x x , y y の組に対応する点を座標平面に描くと左下の図のようになる.表のような y = x2 y = x 2 の関係を満たす点を集めて グラフ にすると右下の図のようのような曲線になる.このような2次関数のグラフを 放物線 ともいう. 放物線の対称軸を,その放物線の 軸 といい,軸と放物線との交点を,その放物線の 頂点 という. y =x2 y = x 2 の場合,軸は y y 軸で,頂点2次関数のグラフは,放物線とも呼ばれ,ボールを遠投したとき描く曲線のような形をしています。 その曲線を式で書くと,y=ax2 (a≠0) の形に書かれます。 この章では,この曲線について,前の章で学んだ平行移動を行なうことにします。 まず,y=ax2 の性質と,これから使う名称について説明しておきます。 a は 0 以外の適当な数ですが,この値によって,グラフの2変数関数 z = f (x,y) = x2 y2 の グラフ すなわち、 z = f (x,y) = x2 y2 を満たす ( x, y, z) を全て集めた集合 { ( x,y, z) z=x2 y2 } は、 以下のようになる。 このグラフを、 回転放物面 と呼ぶ。 文献 ・高橋『 微分と積分2 』§31例32 ( p 64) → トピック一覧:2変数2次関数



中3数学 Y 2分の1x2乗のグラフと変域 5分で学習 Youtube



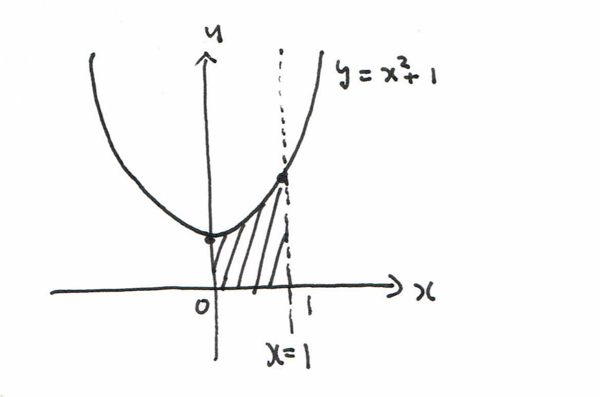
定積分で面積を求める x軸と曲線 直線 一歩一歩ぐんぐんブログ
直線に見えるもの(定規をあてて点をつないだもの), y=x 2 のように左側も持ち上がっているもの,右下がりのグラフになっているものは零点です. 3 点 (1, 2) でなく少し上の方の (1, 3) を通っているように見えるグラフは少し減点されます. 45最後に、一般の2次関数 \y=ax^2bxc\ のグラフについて考えてみよう。たとえば \y=2x^24x1\tag{1}\label{y=ax^2bxcnogurafu}\ のグラフを描くには、次のように式を変形(平方完成 (completing square) という)してから考える。 \begin{align} y=&2x^24x1\\ =&2\left\{x^22x\right\}1\\ &\quad\blacktriangleleft x^2の係数でくくる2次関数 y=x2 のグラフと直線 y=x+2 とが交わっているとき,2交点A,Bと原点Oでできる OABの面積の求め方を考えてみます. 交点A,Bのx座標 は x2=x+2を解いて (→ x2-x-2=0 → (x+1) (x-2)=0 ) x=-1,2 直線ABがy軸と交わる点Pのy座標は y=x+2 から y=2 ここで, OPBの面積は,底辺の長さ2,高さ2と考えると S1=2×2÷2=2です. また, OPAの面積 は,底辺の長



Y 1 X 2乗 のグラフってどんなんですか 大体でいいので教えてください Clear



二次関数のグラフで三角形の面積を求める問題の解き方4ステップ Qikeru 学びを楽しくわかりやすく
Aを定数とし、xの2次関数y=x2乗2(a2)xa2乗a1のグラフをGとする。 を埋める問題です。 (1)グラフGとy軸との交点のy座標をYとする。Yの値が最小になるのは 質問<2562>さや「文字の入った2次関数の最大・最小」関数グラフ GeoGebra x y z π 7 8 9 ×中3数学。2乗に比例する関数 (y = ax²)。xの値が「p から q まで」増加する時の「変化の割合」、a(pq)?? ダメだ(ガクッ)倒れ込む中学生。立て、立つんだトォォォォ~ッ! オール5家庭教師、見参ッ! 2次関数のコツは、これ!(ビシッ)



分数関数とは グラフや微分 積分 不等式の解き方 受験辞典



赤線の部分は X 2 X2乗 ではなくてなぜ X2乗 Clear
Aug , 17y=X2乗4の式で頂点と軸を求めてグラフを書けと言われました答えはわかるのですが、グラフにでてくる2はどう導き出したのでしょうか?お願いします。 x軸との交点なので、y=0として解きます。y=x²4において、中3数学。2乗に比例する関数 (y = ax²)。この a は「変化の割合」? xの値が「0から2まで」増加する? 分からん(ガクッ)倒れ込む中学生。立て、立つんだトォォォォ~ッ! オール5家庭教師、見参ッ! 2次関数のコツ、成績アップ法を公開。



高校数学 Y Ax 2 Bx Cのグラフ 練習編 映像授業のtry It トライイット



放物線y Ax と直線が交わってできる三角形の問題 バカでもわかる 中学数学



無理関数とは グラフや微分 積分 不等式の解き方 受験辞典



数学 2次関数 頂点の求め方 オンライン無料塾 ターンナップ



高校数学 指数関数 Y E X のグラフ 正規分布曲線もどき 受験の月



2次関数y Ax のグラフ 放物線 の形は 上に凸 下に凸の場合があるのだが バカでもわかる 中学数学



Spi 不等式と領域 最速解法 例題 Study Pro Spi



頂点が原点以外にある二次関数のグラフ 1 数学解説ブログ つくば市の 数学 算数 物理に強い プロ家庭教師 長通幸大 発信



無理関数とは グラフや微分 積分 不等式の解き方 受験辞典



高校数学 無理関数 Y X 1 X のグラフ 斜め楕円 受験の月



高校数学 Y Ax 2 Bx Cのグラフ 例題編 映像授業のtry It トライイット



4次関数の最大最小を 平方完成 を応用して解いてみよう 複2次式とは 遊ぶ数学



関数y Ax2乗 変域の求め方 変域から式を求める問題を解説 Youtube



Tossランド 関数の初期の指導 Y Ax2 その2



Spi 不等式と領域 最速解法 例題 Study Pro Spi



2次関数のグラフのx座標を求める問題なんですが 解いてくれる方いませんか Yahoo 知恵袋



二次関数のグラフの書き方 中学生の数学で非常に大切だ 三重の個人契約家庭教師



中3数学12 yがxの2乗に比例する関数 2グラフ 基本問題プリント 問題 321



二次関数 Wikipedia



関数y Ax2乗 放物線グラフの書き方はこれでバッチリ 数スタ



変化の割合 二次関数y Ax2の裏ワザ公式 どうやって解くの 数スタ



X Y Y X がつくる曲線について考える うちーノート



関数y Ax の 変化の割合 の問題 Xの値がaからa 2まで増加したときに Yの値は バカでもわかる 中学数学



1 2 Y 2 Descubre Como Resolverlo En Qanda



中3数学 放物線と直線の交点 練習編 映像授業のtry It トライイット



高校数学 Y Ax 2 Bx Cのグラフ 例題編 映像授業のtry It トライイット



Tossランド 関数の初期の指導 Y Ax2 その2



中3数学 Yはxの2乗に比例 とは 映像授業のtry It トライイット



微分とは何か 中学生でも分かる微分のイメージ



教えてください 直線abはy 3x 4のグラフであり 直線acは直線ab Okwave



放物線の平行移動 やややさしい数学



高校数学 分数関数 Y X X 1 のグラフ 受験の月



バカでもわかる 中学数学 17年09月



数 二次関数 平行移動の符号はなぜ反対になるのか 答えは見方が逆だから Mm参考書



定積分で面積を求める x軸と曲線 直線 一歩一歩ぐんぐんブログ



Tossランド 関数の初期の指導 Y Ax2 その2



二次関数のグラフで三角形の面積を求める問題の解き方4ステップ Qikeru 学びを楽しくわかりやすく



頂点が原点以外にある二次関数のグラフ 1 数学解説ブログ つくば市の 数学 算数 物理に強い プロ家庭教師 長通幸大 発信



二次関数グラフの書き方 頂点を一発で求める方法とは 高校生向け受験応援メディア 受験のミカタ



2次関数y Ax のグラフ 放物線 の形は 上に凸 下に凸の場合があるのだが バカでもわかる 中学数学



24 Y Ax2 Descubre Como Resolverlo En Qanda



無料 中3数学 標準問題 問題プリント 321 関数y ax2乗 2グラフ



頂点が原点以外にある二次関数のグラフ 2 数学解説ブログ つくば市の 数学 算数 物理に強い プロ家庭教師 長通幸大 発信



タンジェント 積分 三角関数の公式の一覧



高校数学 Y A X P 2のグラフ2 練習編 映像授業のtry It トライイット



4 C X 1 A 4 Squarec See How To Solve It At Qanda



拓け 未来 竹下数塾 数 それでグラフが描けるか



一次関数と二次関数の交点の求め方がわかる3つのステップ Qikeru 学びを楽しくわかりやすく



Yはxの2乗に比例する Y Ax の A を決める問題 バカでもわかる 中学数学



この問題区切りより下が間違っていて答えはy x2乗 x 6なのですがどこが間違って Clear



中3数学 Y X2乗とy X2乗のグラフ 5分で学習 Youtube



数学 二次関数の問題です y 3x二乗 12x c cは定数 1 Okwave



関数y Ax2乗 放物線グラフの書き方はこれでバッチリ 数スタ



頂点が原点以外にある二次関数のグラフ 2 数学解説ブログ つくば市の 数学 算数 物理に強い プロ家庭教師 長通幸大 発信



数学 中3 35 二次関数のグラフ Youtube



高校数学 指数関数 Y E 1 X のグラフ 受験の月



二次関数グラフの書き方 頂点を一発で求める方法とは 高校生向け受験応援メディア 受験のミカタ



関数y Ax2の問題です あってますか Clear



3年 関数 Y X のグラフ 数学イメージ動画集 大日本図書



絶対値と3乗が付いたグラフの書き方 Y 2 X 1 2x 3 Okwave



中3数学 関数y ax二乗 放物線と直線1 発展問題 問題 324 プリント



関数y Ax2乗 式の作り方はこれでバッチリ Aの値の求め方とは 数スタ



絶対値と3乗が付いたグラフの書き方 Y 2 X 1 2x 3 Okwave



数学苦手な高校生向け 二次関数グラフの書き方を初めから解説 数スタ



放物線y X 3xのグラフの書き方教えてください Clear



ベストyx2乗1 グラフ 最高のぬりえ



ねらい 2乗に比例する関数を日常的な事象の問題解決に利用できる Ppt Download



2直線の交点の座標の求め方がわかる3ステップ Qikeru 学びを楽しくわかりやすく
コメント
コメントを投稿